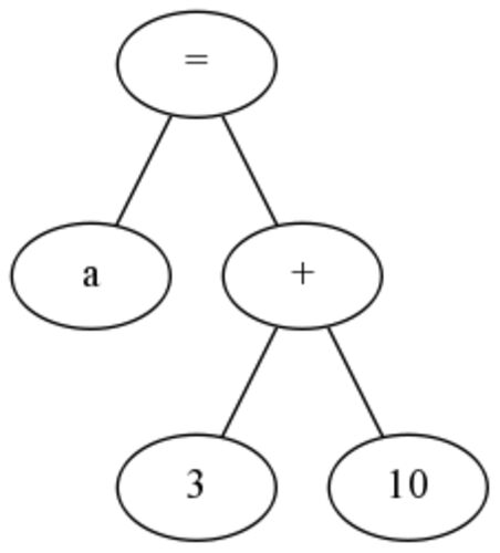
最近いろいろあってインタプリターを勉強中。 このエントリーはそれの備忘録。 インタプリターを実装するのは個人で行うと大変だ。なぜなら結構な規模のプログラムになるからだ。インタプリターのプログラムは次のようにパート分けできる 字句解析処理 構文…
引用をストックしました
引用するにはまずログインしてください
引用をストックできませんでした。再度お試しください
限定公開記事のため引用できません。